作为A-level的核心科目,数学是几乎所有学生都会选择的科目,另外之前就跟大家科普过,大学里的很多专业都会对A-level数学有要求,不仅是数学专业,科学与工程、医学、经济学和一些商业专业都会对申请者的数学成绩有要求。
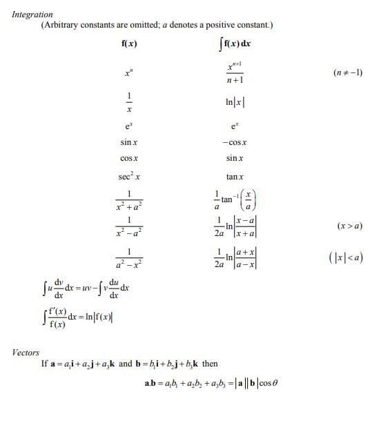
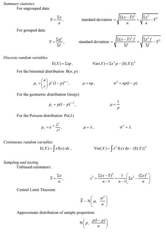
而数学的学习,最重要的就是公式的理解和应用,学习A-level数学的小伙伴拥有一本数学公式表堪比拥有了万能宝典,所以为了帮助大家更好的学习A Level数学,下面为大家总结了考试中经常会用到的公式表,一起来看看吧~






以上就是有关A Level数学公式的总结,希望对大家有帮助,爱德思近来在改革,但其实历年教材的数学公式基本不会相差太多,小伙伴们都可以用来作为参考!
小克学长cue您,定期分享国际竞赛、国际课程、留学动态、国际院校等相关资讯,与学弟学妹们破釜沉舟,携手并进,助力学弟学妹们成功拿到世界名校offer
小克学长智囊-国际教育专业顾问-在线答疑
关于国际教育任何资讯了解,留学前,背景提升、课程培训等相关疑问均可以在线咨询小克学长智囊,也可以搜索“网址https://www.szxxdjy.com/
关注微信公众号:”克拉教育背景提升”陪您一起了解。